Cidade Notícias

Prefeitura de Soledade divulga classificação final do Processo Seletivo

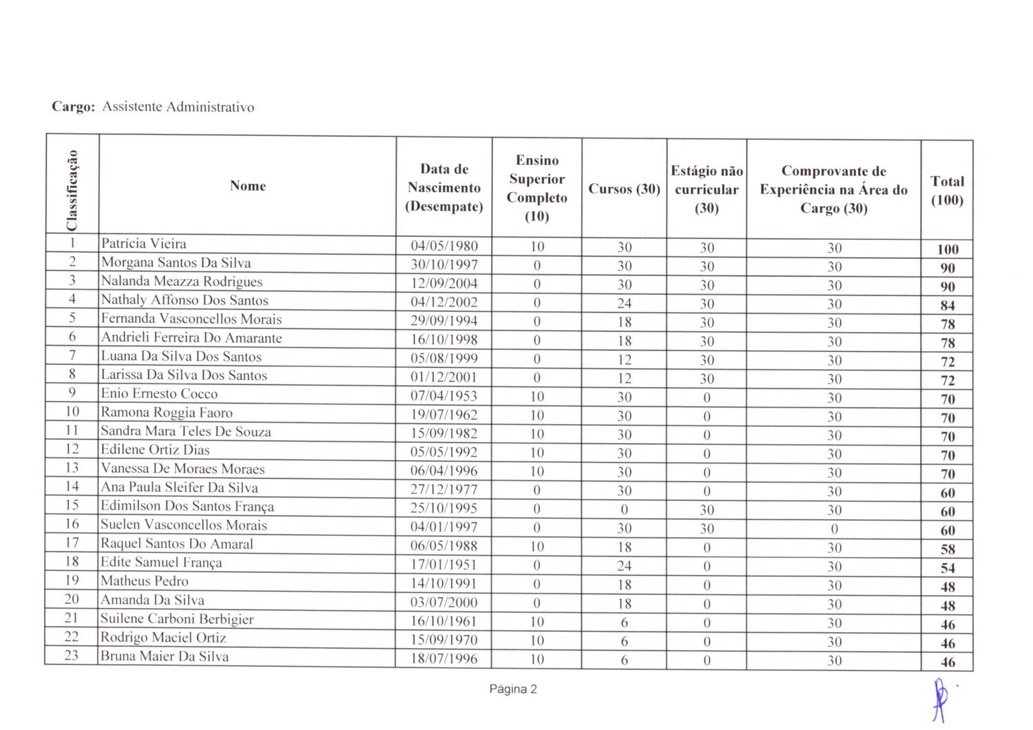
A Prefeita Municipal de Soledade,Marilda Borges Corbelini, no uso de suas atribuições legais, torna público a classificação final, referente ao Edital 036/2023 do Processo Seletivo Simplificado para Contralação por Prazo Determinado para as Secretarias Municipais.

Confira a lista completa aqui.